求恩透視
學校簡介
本校校徽
辦學宗旨
歷史篇
校歌
學校架構
計劃與報告
校曆表
虛擬導覽
學校設施
前往本校路線
入學申請
學與教
香港中學文憑試
課程及班級結構
學科網頁
E-Class 連結
校園生活
學生會
政綱
學生名單
學生活動
四大隊
由來
學生名單
學生活動
學長
目標
學生名單
學生活動
撒母耳團契
目標
學生名單
學生活動
課外活動
聯課活動小組
其他學習經歷周
全方位學習日
課外活動興趣班
走出課室體驗日
活動花絮
STEAM Day 全校體驗日
中華文化日
活動影片
學生成就
獎學金
校內獎學金
校外獎學金
校外比賽
畢業生近況
學校刊物
學與教策略
求恩
求恩快訊
求恩家書
淬鋒
Connect
家長及校友組織
家長教師會
關於我們
家教會通告
聯絡我們
活動回顧
校友會
關於我們
會籍事宜
會務通告
活動資訊
活動回顧
校友專訪
校友會歷史
會員福利
聯絡我們
傳媒報導
2022-2023
2021-2022
2020-2021
2018-2019
2017-2018
2016-2017
2015-2016
2014-2015
2013-2014
2012-2013
2011-2012
2010-2011
2009-2010
2008-2009
2007-2008
2006-2007
聯課活動小組
首頁
>
校園生活
>
課外活動
>
聯課活動小組
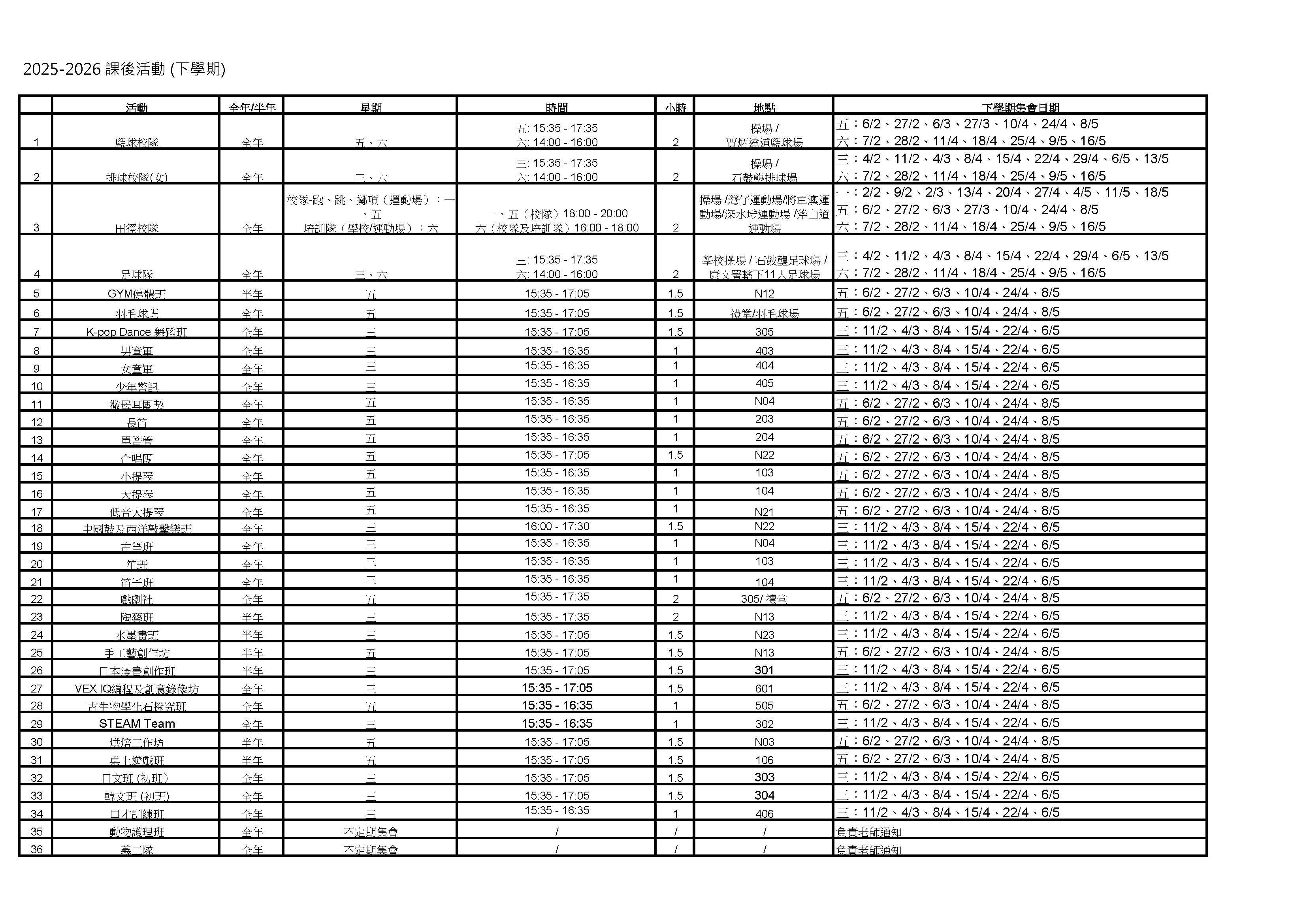
2024 – 2025學年度聯課活動小組一覽表
制服團隊
男童軍
女童軍
武術社
攝影學會
戲劇社
合唱團
舞蹈社
古箏班
籃球校隊(男)
排球校隊(女)
田徑校隊
足球隊
管樂團
校園生活
學生會
政綱
學生名單
學生活動
四大隊
由來
學生名單
學生活動
學長
目標
學生名單
學生活動
撒母耳團契
目標
學生名單
學生活動
課外活動
聯課活動小組
其他學習經歷周
全方位學習日
課外活動興趣班
走出課室體驗日
活動花絮
STEAM Day 全校體驗日
中華文化日
活動影片